Writing report
academic IELTS Writing: Task 1
Overall score
6.50
6.5 of 9.0
Submitted on
May 21, 2025 (12 months ago)
Writing duration
3528 minutes
Task description
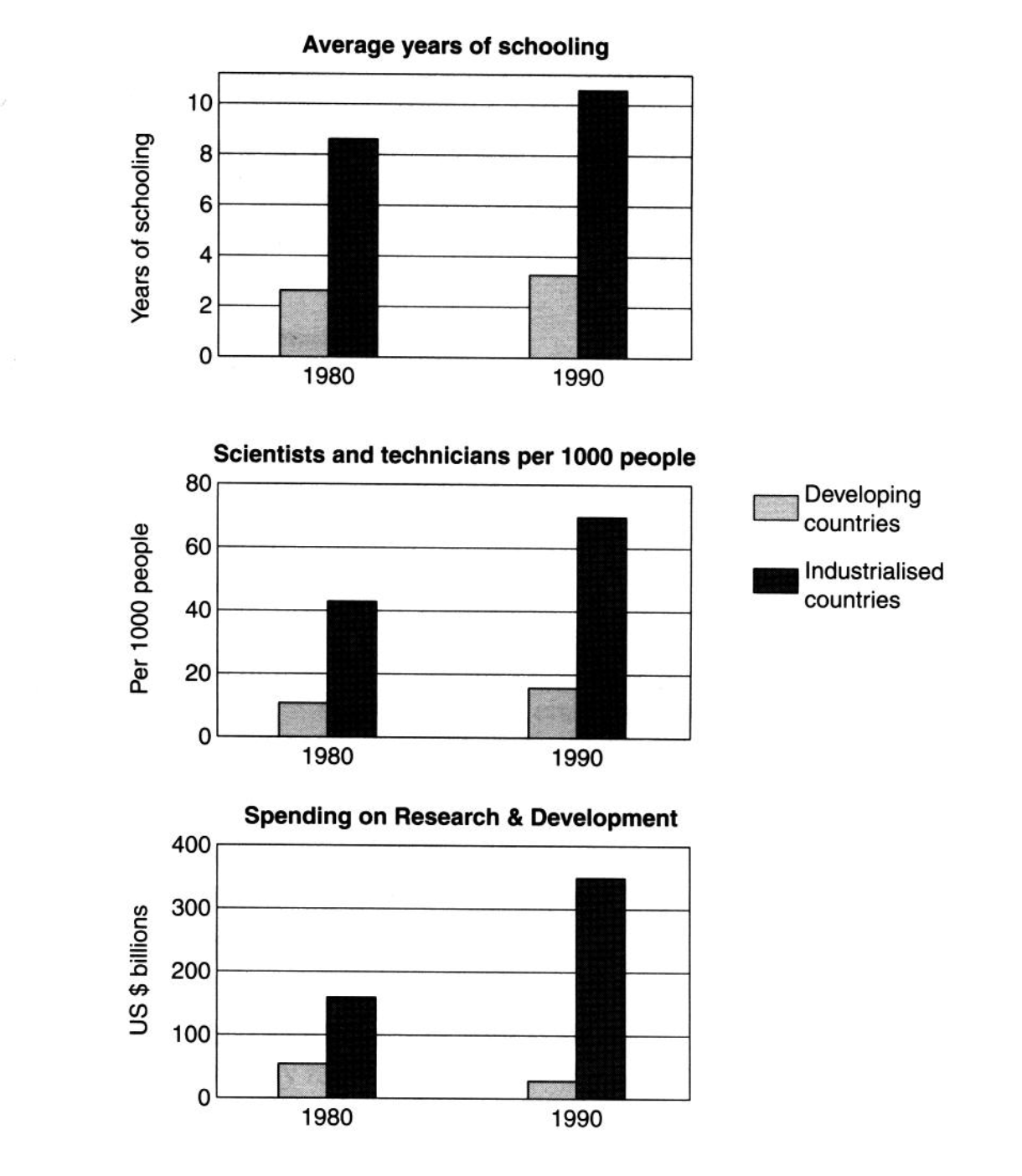
The charts below show the levels of participation in education and science in developing and industrialized countries in 1980 and 1990. Write a report for a university lecturer describing the information shown below.
You should write a minimum of 150 words.

Source: Cambridge 3
Task answer
The bar charts compare the average years of school education, the number of scientists and technicians per 1000 citizen, and the total spending on research and technological development between 1980 and 1990, measured in developing and developed countries.
Overall, all categories witnessed increase trends over the ten-year period, except for the spending of developing nations, which observed a decrease. It is also noticeable that the participation of industrialised powers in all aspects were higher than their developing counterparts.
Beginning with the avarage schooling years, 1980 saw the higher number of studying years students in developed countries spent at schools, with under nine years average, three times longer than three years in developing powers. In the next ten years, slight grows were experienced for both countries, with approximately 11 years and over 3 years of school engagement in developed and undeveloped nations, in that order.
In terms of scientists and technicians per thousand , the similar traits were also occurred, that for every 1000 people, around 10 in the underdeveloped and a fourfold of that (over 40) in the industrialised were accounted for scientific and technological occupations. These figurs then rose in 1990, that the more significant surge was by developed powers, with the respective growth to about 15 and 70 scientists and technicians in pre-developed and industrialised countries.
Ending with total spending allocated for scientific research and development, the figure for developing countries experiences a slight decline in ten years, from about 50 million dollars to only 20 million dollars. The opposite trend was seen with the developed, with above 160 million and more than a double of that (350 million) were invested for research and development.
Word count:277